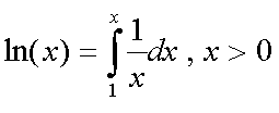
This is an applet to explore the definition of the natural logarithm ln(x).

TUTORIAL
1 - click on the button above "click here to start" and MAXIMIZE the window obtained.
2 - The applet is started with x=1, ln(x) is given by the area from x=1 to x=1 which gives zero.
3 - Use the slider to change the coordinate x to 2. Click on reset and increase n which is the number of sampling points (see Simpson' rule) of the function from x=1 to x=2. Top left the area is an approximation to the integral. Check that it gives you a good approximation to ln(2). Compare the value obtained for ln(2) with the one given by your calculator.
4 - Repeat the experiment for different values of x.