Radical Expressions
Questions with Solutions for Grade 10

Grade 10 questions on how to use some important formuals to simplify radicals algebraic expressions with solutions are presented.

Important Formulas


A) If \( n \) and \( m \) are positive integers and \( \sqrt[n]{y} \) is a real number, then \[ \Large{\color{blue}{ \left( \sqrt[n]{y} \right)^m = \sqrt[n]{y^m}} } \] Examples
1) \( \sqrt 5 \) is a real number and therefore \[ \Large{(\sqrt{5})^2 = \sqrt{5^2} = 5} \]
2) \( \sqrt[3]{-7} \) is a real number and therefore \[ \Large{(\sqrt[3]{-7})^6 = \sqrt[3]{(-7)^6} = \sqrt[3]{(-1)^6 \cdot 7^6} = \sqrt[3]{(7^2)^3} = 7^2 = 49} \] B) If \(n\) is an EVEN positive integer then \[ \Large{\color{blue}{ \sqrt[n]{y^n} = |y|} } \] Examples
  1. \( \quad \sqrt{16} = \sqrt{4^2} = |4| = 4 \)
  2. \( \sqrt[4]{\left( -3 \right)^4} = |-3| = 3 \)
  3. \( \sqrt{(x-2)^2} = |x-2| \)
  4. \( \sqrt[4]{x^4} = |x| \)
  5. \( \sqrt{x^4} = \sqrt{(x^2)^2} = |x^2| = x^2 \)
C) If \(n \) is an ODD positive integer then Here are the expressions from the image formatted in LaTeX for MathJax: \[ \Large{\color{blue}{\sqrt[n]{y^n} = y}} \]

Examples

  1. \( \quad \sqrt[3]{-1} = \sqrt[3]{(-1)^3} = -1\)
  2. \( \quad \sqrt[5]{(-2)^5} = -2\)
  3. \( \quad \sqrt[3]{-27} = \sqrt[3]{(-3)^3} = -3\)
  4. \( \quad\sqrt[5]{x^5} = x\)
  5. \( \quad\sqrt[3]{-x^6} = \sqrt[3]{(-x^2)^3} = -x^2\)

Questions

Rewrite, if possible, the following expressions without radicals (simplify)
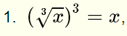
  1. \( \quad \left( \sqrt[3]{x} \right)^3 = \)
  2. \( \quad \left( \sqrt{x} \right)^2 = \)
  3. \( \quad -\left( \sqrt{x} \right)^4 = \)
  4. \( \quad \sqrt{-x^2 - 1} = \)
  5. \( \quad \sqrt[8]{x^8} = \)
  6. \( \quad \sqrt{x^6} = ? \)
  7. \( \quad \sqrt{x \cdot |x|} = \)
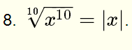
  8. \( \quad \sqrt[10]{x^{10}} = \)
  9. \( \quad \sqrt[3]{(x - 2)^3} = \)
  10. \( \quad \sqrt{\frac{x^2}{9}} = \)
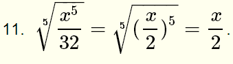
  11. \( \quad \sqrt[5]{\frac{x^5}{32}} = \)
  12. \( \quad \sqrt{(-x + 3)^2} = \)
  13. \( \quad \sqrt{x^2 + 4x + 4} = \)

Solutions to the Above Problems

  1. The index of the radical \( 3 \) is odd and equal to the power of the radicand. \[ \left( \sqrt[3]{x} \right)^3 = x \]
  2. Since \( \sqrt{x} \) is a real number, \( x \) is positive and therefore \( |x| = x \). \[ \left( \sqrt{x} \right)^2 = \sqrt{x^2} = |x| = x \]
  3. \[ - \left( \sqrt{x} \right)^4 = - \sqrt{x^4} = - |x^2| = -x^2 \]
  4. Since \( -x^2 - 1 \) is always negative, \[ \sqrt{-x^2 - 1} \] is not a real number.
  5. The index \( 8 \) is even and equal to the power of the radicand \[ \sqrt[8]{x^8} = |x| \]
  6. \[ \sqrt{x^6} = \sqrt{(x^3)^2} = |x^3| \]
  7. \[ \sqrt{x \cdot |x|} = ? \] If \( x \lt 0 \), \( |x| = -x \) and \( \sqrt{x \cdot |x|} = \sqrt{-x^2} \) which is not a real number.
    If \( x \geq 0 \), \( |x| = x \) and \( \sqrt{x \cdot |x|} = \sqrt{x^2} = |x| = x \)
  8. The index \( 10 \) of the radical is even and equal to the power of the radicand. \[ \sqrt[10]{x^{10}} = |x| \]
  9. The index \( 3 \) of the radical is odd and equal to the power of the radicand. \[ \sqrt[3]{(x - 2)^3} = x - 2 \]
  10. \[ \sqrt{\frac{x^2}{9}} = \sqrt{\left(\frac{x}{3}\right)^2} = \left|\frac{x}{3}\right| = \frac{|x|}{3} \]
  11. \[ \sqrt[5]{\frac{x^5}{32}} = \sqrt[5]{\left(\frac{x}{2}\right)^5} = \frac{x}{2} \]
  12. Even index and power of radicand. \[ \sqrt{(-x+3)^2} = | -x + 3 |. \]
  13. Even index and power of radicand. \[ \sqrt{x^2 + 4x + 4} = \sqrt{(x+2)^2} = |x+2|. \]

Links and References