Rationalize Denominators - Questions with Solutions

Grade 10 questions on how to rationalize radical expressions are presented below. Review the formulas and examples, try solving the practice questions, and click the arrows to view the step-by-step solutions.

To rationalize radical expressions with denominators is to express the denominator without radicals.

Useful Identities for Rationalization

The following identities may be used to rationalize denominators of rational expressions:

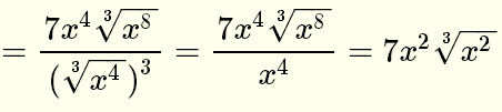
  1. $\sqrt{x} \cdot \sqrt{x} = (\sqrt{x})^2 = x$
  2. $\sqrt[3]{x} \cdot (\sqrt[3]{x})^2 = (\sqrt[3]{x})^3 = x$
  3. $(\sqrt{x} - \sqrt{y}) (\sqrt{x} + \sqrt{y}) = (\sqrt{x})^2 - (\sqrt{y})^2 = x - y$
  4. $(x - \sqrt{y}) (x + \sqrt{y}) = x^2 - (\sqrt{y})^2 = x^2 - y$

Examples with Solutions

Review the following examples to see how rationalization is applied:

Example 1

Rationalize: $\dfrac{1}{\sqrt{2}}$

View Solution

Because of $\sqrt{2}$ in the denominator, multiply the numerator and denominator by $\sqrt{2}$ and simplify:

$$ \dfrac{1}{\sqrt{2}} = \dfrac{1}{\sqrt{2}} \cdot \dfrac{\sqrt{2}}{\sqrt{2}} = \dfrac{\sqrt{2}}{(\sqrt{2})^2} = \dfrac{\sqrt{2}}{2} $$

Example 2

Rationalize: $\dfrac{1}{\sqrt[3]{x}}$

View Solution

Because of $\sqrt[3]{x}$ in the denominator, multiply the numerator and denominator by $\left( \sqrt[3]{x} \right)^2$ and simplify:

$$ \dfrac{1}{\sqrt[3]{x}} = \dfrac{1}{\sqrt[3]{x}} \cdot \dfrac{\left( \sqrt[3]{x} \right)^2}{\left( \sqrt[3]{x} \right)^2} = \dfrac{\sqrt[3]{x^2}}{x} $$

Example 3

Rationalize: $\dfrac{4}{\sqrt{3} - \sqrt{2}}$

View Solution

Because of the expression $\sqrt{3} - \sqrt{2}$ in the denominator, multiply the numerator and denominator by its conjugate, which is $\sqrt{3} + \sqrt{2}$, to obtain:

$$ \dfrac{4}{\sqrt{3} - \sqrt{2}} = \dfrac{4}{\sqrt{3} - \sqrt{2}} \cdot \dfrac{\sqrt{3} + \sqrt{2}}{\sqrt{3} + \sqrt{2}} $$

$$ = \dfrac{4(\sqrt{3} + \sqrt{2})}{(\sqrt{3} - \sqrt{2})(\sqrt{3} + \sqrt{2})} $$

$$ = \dfrac{4(\sqrt{3} + \sqrt{2})}{(\sqrt{3})^{2} - (\sqrt{2})^{2}} $$

$$ = \dfrac{4(\sqrt{3} + \sqrt{2})}{3 - 2} = 4(\sqrt{3} + \sqrt{2}) $$

Example 4

Rationalize: $\dfrac{5x^{2}}{\sqrt[3]{x^{2}}}$

View Solution

Because of the expression $\sqrt[3]{x^2}$ in the denominator, multiply the numerator and denominator by $\left( \sqrt[3]{x^2} \right)^2$ to obtain:

$$ \dfrac{5x^2}{\sqrt[3]{x^2}} = \dfrac{5x^2}{\sqrt[3]{x^2}} \cdot \dfrac{\left( \sqrt[3]{x^2} \right)^2}{\left( \sqrt[3]{x^2} \right)^2} $$

$$ = \dfrac{5x^2 \sqrt[3]{x^4}}{\left( \sqrt[3]{x^2} \right)^3} $$

Simplify and cancel terms:

$$ = \dfrac{5x^2 \sqrt[3]{x^4}}{x^2} = 5\sqrt[3]{x^4} = 5x\sqrt[3]{x} $$

Example 5

Rationalize: $\dfrac{x^2}{y + \sqrt{x^2 + y^2}}$

View Solution

Because of the expression $y + \sqrt{x^2 + y^2}$ in the denominator, multiply the numerator and denominator by its conjugate, $y - \sqrt{x^2 + y^2}$, to obtain:

$$ \dfrac{x^2}{y + \sqrt{x^2 + y^2}} = \dfrac{x^2}{y + \sqrt{x^2 + y^2}} \cdot \dfrac{y - \sqrt{x^2 + y^2}}{y - \sqrt{x^2 + y^2}} $$

$$ = \dfrac{x^2(y - \sqrt{x^2 + y^2})}{(y)^2 - (\sqrt{x^2 + y^2})^2} $$

$$ = \dfrac{x^2(y - \sqrt{x^2 + y^2})}{y^2 - (x^2 + y^2)} $$

$$ = \dfrac{x^2(y - \sqrt{x^2 + y^2})}{-x^2} $$

$$ = -y + \sqrt{x^2 + y^2} $$


Practice Questions With Answers

Rationalize the denominators of the following expressions and simplify if possible:

Question 1

Simplify: $\dfrac{10}{\sqrt{5}}$

View Solution

Multiply the numerator and denominator by $\sqrt{5}$:

$$ \frac{10}{\sqrt{5}} = \frac{10}{\sqrt{5}} \cdot \frac{\sqrt{5}}{\sqrt{5}} = \frac{10\sqrt{5}}{(\sqrt{5})^2} = \frac{10\sqrt{5}}{5} = 2\sqrt{5} $$

Question 2

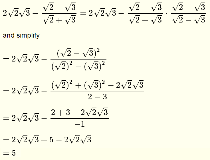
Simplify: $2\sqrt{2}\sqrt{3} - \dfrac{\sqrt{2} - \sqrt{3}}{\sqrt{2} + \sqrt{3}}$

View Solution

Focus on the fraction part. Multiply its numerator and denominator by the conjugate, $\sqrt{2} - \sqrt{3}$:

$$ = 2\sqrt{2}\sqrt{3} - \left( \frac{\sqrt{2} - \sqrt{3}}{\sqrt{2} + \sqrt{3}} \cdot \frac{\sqrt{2} - \sqrt{3}}{\sqrt{2} - \sqrt{3}} \right) $$

Simplify the fraction:

$$ = 2\sqrt{2}\sqrt{3} - \frac{(\sqrt{2}-\sqrt{3})^2}{(\sqrt{2})^2-(\sqrt{3})^2} $$

$$ = 2\sqrt{2}\sqrt{3} - \frac{(\sqrt{2})^2 + (\sqrt{3})^2 - 2\sqrt{2}\sqrt{3}}{2-3} $$

$$ = 2\sqrt{2}\sqrt{3} - \frac{2+3-2\sqrt{2}\sqrt{3}}{-1} $$

Distribute the negative sign:

$$ = 2\sqrt{2}\sqrt{3} + 5 - 2\sqrt{2}\sqrt{3} $$

$$ = 5 $$

Question 3

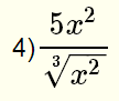
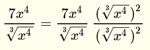
Simplify: $\dfrac{7x^4}{\sqrt[3]{x^4}}$

View Solution

Multiply the numerator and denominator by $\left( \sqrt[3]{x^4} \right)^2$:

$$ \frac{7x^4}{\sqrt[3]{x^4}} = \frac{7x^4}{\sqrt[3]{x^4}} \cdot \frac{\left( \sqrt[3]{x^4} \right)^2}{\left( \sqrt[3]{x^4} \right)^2} $$

Simplify:

$$ = \frac{7x^4 \sqrt[3]{x^8}}{\left( \sqrt[3]{x^4} \right)^3} = \frac{7x^4 \sqrt[3]{x^8}}{x^4} = 7 \sqrt[3]{x^8} = 7x^2 \sqrt[3]{x^2} $$

Question 4

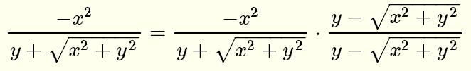
Simplify: $\dfrac{-x^2}{y + \sqrt{x^2 + y^2}}$

View Solution

Multiply the numerator and denominator by the conjugate, $y - \sqrt{x^2 + y^2}$:

$$ \frac{-x^2}{y + \sqrt{x^2 + y^2}} = \frac{-x^2}{y + \sqrt{x^2 + y^2}} \cdot \frac{y - \sqrt{x^2 + y^2}}{y - \sqrt{x^2 + y^2}} $$

Simplify the denominator:

$$ = \frac{-x^2(y - \sqrt{x^2 + y^2})}{y^2 - (x^2 + y^2)} $$

$$ = \frac{-x^2(y - \sqrt{x^2 + y^2})}{-x^2} = y - \sqrt{x^2 + y^2} $$

More References and Links