Null Space and Nullity of a Matrix

Definition of Null Space of a Matrix

The null space of an m × n matrix A is the set of all the solutions x to the homogeneous equation

A x = 0

where x is a column vector with n rows and 0 is a zero column vector with n rows.
The null space of matrix A is denoted as "Null A" .
Null A is a subspace of n and vectors x are in n .
Using set notation we write:       Null Space Notation
The nullity of matrix A is the dimension of Null A which equal to the number of vectors in Null A .



Properties of the Null Space

Let A be an m × n matrix.

  1.    The null space of a given matrix A is never empty since x = 0 is a trivial solution to the homogeneous equation A x = 0 .
  2.    Null A is a subspace of n
  3.    All elements of Null A are vectors in n.



Examples with Solutions

Example 1
Which of the vectors Column Vectors is an element of Null A given that 3 by 3 Matrix
Solution to Example 1
From the above definition, any element of Null A must be a solution to the homogeneous equation A x = 0 . Therefore, in order to find out if a given vector is an elelment of Null A , we just check whether it is a solution to the homogeneous equation.

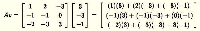
Check vector v
Evaluate the product A v
Matrix Vector Product \( \)\( \)\( \)
Simplify
\( = \begin{bmatrix} 0\\\ 0 \\ 0 \end{bmatrix} \)
Hence since \( \; A v \; \) is equal to \( 0 \), vector \( v = \begin{bmatrix} 3\\ -3\\ -1 \end{bmatrix} \) is a solution to the homogeneous equation \( A x = 0 \) and is therefore an element of Null \( A \).

Check vector \( u \)
Evaluate the product \( A u \)
\( \begin{bmatrix} 1 & 2 & -3\\ -1 & -1 & 0\\ -2 & -3 & 3 \end{bmatrix} \begin{bmatrix} 1\\ -2\\ 1 \end{bmatrix} = \begin{bmatrix} (1)(1) + (2)(-2) + (-3)(1)\\\ (-1)(1) + (-1)(-2) + (0)(1) \\ (-2)(1) + (-3)(-2) + 3(1) \end{bmatrix} \)
Simplify
\( = \begin{bmatrix} -4\\\ 1\\ 7 \end{bmatrix} \)
Hence since the \( \; A u \;\) is NOT equal to \( 0 \), vector \( u = \begin{bmatrix} 1\\ -2\\ 1 \end{bmatrix} \) is a NOT solution to the homogeneous equation \( A x = 0 \) and therefore is NOT an element of Null \( A \).



Example 2
a) Find Null A given that \( A = \begin{bmatrix} 1 & 2 \\ 0 & 0 \end{bmatrix} \)
b) Find 3 elements that are in Null A.

Solution to Example 2
a)
To find the Null A, we need to solve the equation \( A x = 0 \) where \( x \) is a vector in \( \mathbb{R}^2 \)
Let \( x = \begin{bmatrix} x_1\\ x_2 \end{bmatrix} \)
We need to solve
\( \begin{bmatrix} 1 & 2 \\ 0 & 0 \end{bmatrix} \begin{bmatrix} x_1\\ x_2 \end{bmatrix} = \begin{bmatrix} 0\\ 0 \end{bmatrix} \)
Write the augmented matrix of the equation \( A x = 0 \) \( \begin{bmatrix} 1 & 2 & | & 0\\ 0 & 0 & | & 0 \end{bmatrix} \)
Solve the above. \( x_2 \) is a free variable and
\( x_1 = - 2 x_2 \)
Hence the solution set may be written of the form
\( x = x_2 \begin{bmatrix} -2\\ 1 \end{bmatrix} \) , where \( x_2 \in \mathbb{R} \)
Any real value of \( x_3 \) gives an element in Null \( A \).
Hence Null \(A\) is the subspace spanned by \( \begin{bmatrix} -2 \\ 1 \end{bmatrix} \)
b)
Note that for \( x_2 = 0 \), we have the trivial solution \( x = 0 \begin{bmatrix} -2\\ 1 \end{bmatrix} = \begin{bmatrix} 0\\ 0 \end{bmatrix} \)
More elements of Null \( A \) may be obtained by setting the free variable \( x_2 \) to different values.

Let \( x_2 = -1\), hence the corresponding element of Null \( A \): \( x = -1 \begin{bmatrix} -2\\ 1 \end{bmatrix} = \begin{bmatrix} 2\\ -1 \end{bmatrix} \)

Let \( x_2 = 2\), hence the corresponding element of Null \( A \): \( x = 2 \begin{bmatrix} -2\\ 1 \end{bmatrix} = \begin{bmatrix} -4\\ 2 \end{bmatrix} \)

Let \( x_2 = \dfrac{1}{2} \), hence the corresponding element of Null \( A \): \( x = \dfrac{1}{2} \begin{bmatrix} -2\\ 1 \end{bmatrix} = \begin{bmatrix} -1\\ \dfrac{1}{2} \end{bmatrix} \)

As an exercise, check that the three elements \( \begin{bmatrix} 2\\ -1 \end{bmatrix} , \begin{bmatrix} -4\\ 2 \end{bmatrix} , \begin{bmatrix} -1\\ \dfrac{1}{2} \end{bmatrix} \) obtained above are solutions to the equation \( A x = 0 \).



Example 3
a) Find Null A and the nullity of \( A \) given that \( A = \begin{bmatrix} 1 & 2 & -1 \\ 1 & -1 & 1 \\ 3 & 0 & 1 \end{bmatrix} \)

Solution to Example 3
Let \( x = \begin{bmatrix} x_1 \\ x_2\\ x_3 \end{bmatrix} \) be the solution of \( A x = 0 \)
We need to solve the system
\( \begin{bmatrix} 1 & 2 & -1 \\ 1 & -1 & 1 \\ 3 & 0 & 1 \end{bmatrix} \begin{bmatrix} x_1 \\ x_2\\ x_3 \end{bmatrix} = \begin{bmatrix} 0\\ 0\\ 0 \end{bmatrix} \)
Write the augmented matrix of the above equation.
\( \begin{bmatrix} 1 & 2 & -1 & | & 0\\ 1 & -1 & 1 & | & 0\\ 3 & 0 & 1 & | & 0 \end{bmatrix} \)
Row reduce using Gauss Jordan method
\( \begin{bmatrix} 1 & 0 & \dfrac{1}{3} & | & 0\\ 0 & 1 & -\dfrac{2}{3} & | & 0\\ 0 & 0 & 0 & | & 0 \end{bmatrix} \)
\( x_3 \) is the free variable.
\( x_2 = \dfrac{2}{3} x_3 \)
\( x_1 = -\dfrac{1}{3} x_3 \)
The solution \( x \) may be written as
\( x = x_3 \begin{bmatrix} -\dfrac{1}{3} \\ \dfrac{2}{3} \\ 1 \end{bmatrix} \)
Hence Null \(A\) is the subspace spanned by \( \begin{bmatrix} -\dfrac{1}{3} \\ \dfrac{2}{3} \\ 1 \end{bmatrix} \)
Nullity of \( A \) = the number of vector in Null \(A\) = 1


Example 4

a) Find Null A and the nullity of \( A \) given that \( A = \begin{bmatrix} 3 & -2 & -1 & 0 & 2\\ 1 & -2 & 1 & -2 & 4\\ -4 & 4 & 0 & 2 & -6 \end{bmatrix} \)

Solution to Example 4
The system to solve is
\( A x = 0 \)
which may be written as
\( \begin{bmatrix} 3 & -2 & -1 & 0 & 2\\ 1 & -2 & 1 & -2 & 4\\ -4 & 4 & 0 & 2 & -6 \end{bmatrix} \begin{bmatrix} x_1 \\ x_2\\ x_3\\ x_4\\ x_5 \end{bmatrix} = \begin{bmatrix} 0\\ 0\\ 0 \end{bmatrix} \)

We first write the augmented matrix of the above system
\( \begin{bmatrix} 3 & -2 & -1 & 0 & 2 & | & 0\\ 1 & -2 & 1 & -2 & 4 & | & 0\\ -4 & 4 & 0 & 2 & -6 & | & 0 \end{bmatrix} \)

We row reduce the above matrix
\( \begin{bmatrix} 1 & 0 & -1 & 1 & -1 & | & 0\\ 0 & 1 & -1 & \dfrac{3}{2} & -\dfrac{5}{2} & | & 0 \\ 0 & 0 & 0 & 0 & 0 & | & 0 \end{bmatrix} \)

Solve the system corresponding to the augmented matrix
The free variables are: \( x_3, \;x_4, \;x_5 \), hence
The second row gives: \( x_2 = x_3 - \dfrac{3}{2} x_4 + \dfrac{5}{2} x_5 \)
The first row gives: \( x_1 = x_3 - x_4 + x_5 \)
The solution vector \( x \) is given by
\( x = \begin{bmatrix} x_3 - x_4 + x_5 \\ x_3 - \dfrac{3}{2} x_4 + \dfrac{5}{2} x_5 \\ x_3 \\ x_4 \\ x_5 \end{bmatrix} \)

which may be written as
\( x = x_3 \begin{bmatrix} 1\\ 1\\ 1\\ 0 \\ 0 \end{bmatrix} + x_4 \begin{bmatrix} - 1\\ - \dfrac{3}{2}\\ 0 \\ 1\\ 0 \end{bmatrix} + x_5 \begin{bmatrix} 1\\ \dfrac{5}{2} \\ 0 \\ 0 \\ 1 \end{bmatrix} \)

Null A = Span \( \left\{ \begin{bmatrix} 1\\ 1\\ 1\\ 0\\ 0 \end{bmatrix} , \begin{bmatrix} -1\\ -\dfrac{3}{2}\\ 0\\ 1\\ 0 \end{bmatrix} , \begin{bmatrix} 1\\ \dfrac{5}{2}\\ 0\\ 0\\ 1 \end{bmatrix} \right\} \)

Nullity of \( A \) is equal to the number of vectors in the basis of Null \( A \) = 3.

As an exercise, select any real values for \( x_3, \; x_4\) and \( x_5 \), calculate vector \( x = x_3 \begin{bmatrix} 1\\ 1\\ 1\\ 0 \\ 0 \end{bmatrix} + x_4 \begin{bmatrix} - 1\\ - \dfrac{3}{2}\\ 0 \\ 1\\ 0 \end{bmatrix} + x_5 \begin{bmatrix} 1\\ \dfrac{5}{2} \\ 0 \\ 0 \\ 1 \end{bmatrix} \) and verify that it is a solution to the system \( A x = 0 \).


More References and links