Properties of Matrix Operations

The main properties of matrix operations such as addition, multiplication, transpose and inverse are presented.
In what follows, A, B and C are matrices whose sizes are such that the operations are well defined and k is a scalar and n is a positive integer.
In is the identity matrix of size n × n whose diagonal entries are all equal to 1 and all non diagonal entries equal to zero.
0 is the zero matrix whose entries are all zeros.

Page Content


Properties of Matrix Addition

  1. A + 0 = 0 + A = A , where 0 is the zero matrix.
  2. A + B = B + A Commutativity of Addition of Matrices
  3. (A + B) + C = A + (B + C) Associativity of Addition of Matrices


Properties of Matrix Multiplication

  1. A ( B C ) = ( A B ) C     Associativity of Multiplication of Matrices
  2. A In = A , where In is the identity matrix.
  3. In A = A
  4. 0 A = 0 , where 0 is the zero matrix.
  5. Note that in general   AB ≠ BA


Distributive Properties of Matrices

  1. A(B ± C) = AB ± AC
  2. (A ± B)C = AC ± BC


Properties of Matrix Multiplication by Scalars

  1. k(A ± B) = k A ± k B
  2. (k ± m)A = k A ± m A
  3. k(m A) = (k m)A
  4. k(A B) = (k A)B = A(k B)


Properties of Matrix Transpose

In what follows, AT is the transpose matrix.

  1. (AT)T = A
  2. (A ± B )T) = AT ± BT
  3. (k A)T = k AT
  4. (A B)T = BT AT
  5. (In )T = In


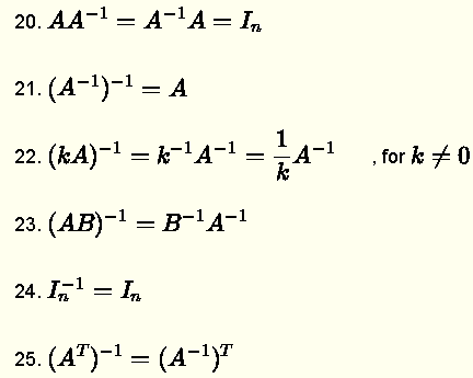
Properties of Matrix Inverse

In what follows, A-1 is the inverse matrix .
Properties of Inverse Matrices



More References and links