Encontrar Derivadas de Funciones en Cálculo

Encuentra las derivadas de varias funciones usando diferentes métodos y reglas en cálculo. Se presentan varios ejemplos con soluciones detalladas. Más ejercicios con respuestas se encuentran al final de esta página.

Ejemplo 1:

Encuentra la derivada de la función \( f \) dada por

\[ f(x) = (x^2 - 5)(x^3 - 2x + 3) \]

Solución al Ejemplo 1:

La función \( f \) es el producto de dos funciones: \[ U = x^2 - 5 \quad \text{y} \quad V = x^3 - 2x + 3 \] Por lo tanto, \[ f(x) = U \, V \]

Usamos la regla del producto para diferenciar \( f \) de la siguiente manera: \[ f'(x) = U'V + UV' \]

donde \( U' \) y \( V' \) son las derivadas de \( U \) y \( V \) respectivamente, y están dadas por \[ U' = 2x \quad \text{y} \quad V' = 3x^2 - 2 \]

Sustituye para obtener: \[ f'(x) = 2x(x^3 - 2x + 3) + (x^2 - 5)(3x^2 - 2) \]

Expande, agrupa y simplifica para obtener: \[ \begin{align*} f'(x) &= 2x^4 - 4x^2 + 6x + 3x^4 - 15x^2 + 10 \\ &= 5x^4 - 21x^2 + 6x + 10 \end{align*} \]

Ejemplo 2:

Calcula la primera derivada de la función f dada por

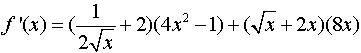
\[ f(x) = (\sqrt x + 2x)(4x^2-1) \]

Solución al Ejemplo 2:

Esta función puede considerarse como el producto de la función \( U = \sqrt x + 2x \) y \( V = 4 x^2 - 1 \), de ahí el uso de la regla del producto.

\[ f'(x) = U' V + U V' = (\dfrac{1}{2\sqrt x} + 2)(4x^2-1) + (\sqrt x + 2 x)(8x) \]

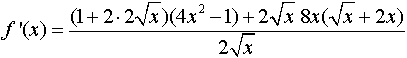
Para sumar lo anterior, necesitas escribir todos los términos como fracciones con un denominador común.

\[ f'(x) = \dfrac{(1+2\cdot2\sqrt x)(4x^2-1)+2\sqrt x(8x)(\sqrt x + 2x)}{2\sqrt x} \]

Expande:

\[ f'(x) = \dfrac{4x^2-1+16x^{5/2}-4\sqrt x+16x^2+32x^{5/2}}{2\sqrt x} \]

y agrupa para obtener el resultado final de la derivada de f de la siguiente manera.

\[ f'(x) = \dfrac{48x^{5/2}+20x^2-4x^{1/2}-1}{2\sqrt x} \]

Ejemplo 3:

Calcula la primera derivada de la función \( f \) dada por

\[ f(x) = \dfrac{x^2 + 1}{5x - 3} \]

Solución al Ejemplo 3:

La función dada puede considerarse como el cociente de dos funciones: \[ U = x^2 + 1 \quad \text{y} \quad V = 5x - 3 \] Usamos la regla del cociente para diferenciar \( f \) de la siguiente manera: \[ f'(x) = \dfrac{U'V - UV'}{V^2} \]

Dado que \( U' = 2x \) y \( V' = 5 \), tenemos: \[ f'(x) = \dfrac{2x(5x - 3) - (x^2 + 1)5}{(5x - 3)^2} \]

Expande y agrupa para obtener \( f'(x) \) de la siguiente manera: \[ \begin{align*} f'(x) &= \dfrac{10x^2 - 6x - 5x^2 - 5}{(5x - 3)^2} \\ &= \dfrac{5x^2 - 6x - 5}{(5x - 3)^2} \end{align*} \]

Ejemplo 4:

Calcula la primera derivada de la función f dada por

\[ f(x) = \dfrac{x - \sqrt{x}}{5x^2 - 3} \]

Solución al Ejemplo 4:

La función \( f \) es el cociente de dos funciones, por lo tanto, se usa la regla del cociente:

\[ f'(x) = \dfrac{(1 - \dfrac{1}{2\sqrt{x}})(5x^2 - 3) - (x - \sqrt{x})10x}{(5x^2 - 3)^2} \]

Escribe todos los términos en el numerador para que tengan el mismo denominador \( 2\sqrt{x} \):

\[ f'(x) = \dfrac{(2\sqrt{x} - 1)(5x^2 - 3) - 2\sqrt{x}(x - \sqrt{x})10x}{2\sqrt{x}(5x^2 - 3)^2} \]

Expande y agrupa términos semejantes para obtener \( f'(x) \):

\[ f'(x) = \dfrac{-10x^{5/2} + 15x^2 - 6\sqrt{x} + 3}{2\sqrt{x}(5x^2 - 3)^2} \]

Ejemplo 5:

Calcula la primera derivada de la función \( f \) dada por

\[ f(x) = \left( \dfrac{1}{x} - 3 \right) \dfrac{x^2 + 3}{2x - 1} \]

Solución al Ejemplo 5:

La función \( f \) dada arriba puede considerarse como el producto de las funciones \( U = \dfrac{1}{x} - 3 \) y \( V = \dfrac{x^2 + 3}{2x - 1} \), y la función \( V \) puede considerarse como el cociente de dos funciones \( x^2 + 3 \) y \( 2x - 1 \). Usamos la regla del producto para \( f \) y la regla del cociente para \( V \) de la siguiente manera.

Sea \( U = \dfrac{1}{x} - 3 \) y \( V = \dfrac{x^2 + 3}{2x - 1} \).

Entonces \( f(x) = U \cdot V \), así que por la regla del producto: \[ f'(x) = U' \cdot V + U \cdot V' \]

Primero, calcula \( U' \): \[ U = x^{-1} - 3 \quad \Rightarrow \quad U' = -x^{-2} = -\dfrac{1}{x^2} \]

A continuación, calcula \( V' \) usando la regla del cociente: \[ V = \dfrac{x^2 + 3}{2x - 1} \quad \Rightarrow \quad V' = \dfrac{(2x)(2x - 1) - (x^2 + 3)(2)}{(2x - 1)^2} \] \[ V' = \dfrac{4x^2 - 2x - 2x^2 - 6}{(2x - 1)^2} = \dfrac{2x^2 - 2x - 6}{(2x - 1)^2} \]

Ahora sustituye en la regla del producto: \[ f'(x) = \left(-\dfrac{1}{x^2}\right) \cdot \dfrac{x^2 + 3}{2x - 1} + \left(\dfrac{1}{x} - 3\right) \cdot \dfrac{2x^2 - 2x - 6}{(2x - 1)^2} \]

Escribe con un denominador común \( x^2(2x - 1)^2 \): \[ f'(x) = \dfrac{-(x^2 + 3)(2x - 1) + \left(\dfrac{1}{x} - 3\right)(2x^2 - 2x - 6) \cdot x^2}{x^2(2x - 1)^2} \]

Simplifica el segundo término: \( \left(\dfrac{1}{x} - 3\right) \cdot x^2 = x - 3x^2 \), entonces: \[ f'(x) = \dfrac{-(x^2 + 3)(2x - 1) + (x - 3x^2)(2x^2 - 2x - 6)}{x^2(2x - 1)^2} \]

Expande ambos términos en el numerador:

Primer término: \[ -(x^2 + 3)(2x - 1) = -(2x^3 - x^2 + 6x - 3) = -2x^3 + x^2 - 6x + 3 \]

Segundo término: \[ (x - 3x^2)(2x^2 - 2x - 6) = 2x^3 - 2x^2 - 6x - 6x^4 + 6x^3 + 18x^2 \] \[ = -6x^4 + (2x^3 + 6x^3) + (-2x^2 + 18x^2) - 6x \] \[ = -6x^4 + 8x^3 + 16x^2 - 6x \]

Suma ambas partes: \[ (-2x^3 + x^2 - 6x + 3) + (-6x^4 + 8x^3 + 16x^2 - 6x) \] \[ = -6x^4 + (-2x^3 + 8x^3) + (x^2 + 16x^2) + (-6x - 6x) + 3 \] \[ = -6x^4 + 6x^3 + 17x^2 - 12x + 3 \]

Por lo tanto: \[ f'(x) = \dfrac{-6x^4 + 6x^3 + 17x^2 - 12x + 3}{x^2(2x - 1)^2} \]

Ejemplo 6:

Calcula la primera derivada de la función \( f \) dada por

\[ f(x) = \sqrt{x} (2x - 1)(x^3 - x) \]

Solución al Ejemplo 6:

Hay varias formas de encontrar la derivada de la función \( f \) dada arriba. Una de ellas es considerar la función \( f \) como el producto de la función \( U = \sqrt{x} \) y \( V = (2x - 1)(x^3 - x) \), y también considerar \( V \) como el producto de \( (2x - 1) \) y \( (x^3 - x) \), y aplicar la regla del producto a \( f \) y \( V \) de la siguiente manera.

Sea \( U = \sqrt{x} \) y \( V = (2x - 1)(x^3 - x) \).

Entonces \( f(x) = U \cdot V \), así que por la regla del producto: \[ f'(x) = U' \cdot V + U \cdot V' \]

Primero, calcula \( U' \): \[ U = x^{1/2} \quad \Rightarrow \quad U' = \dfrac{1}{2}x^{-1/2} = \dfrac{1}{2\sqrt{x}} \]

Ahora calcula \( V' \), donde \( V = (2x - 1)(x^3 - x) \).

Sea \( P = 2x - 1 \) y \( Q = x^3 - x \), entonces \( V' = P' \cdot Q + P \cdot Q' \): \[ P' = 2, \quad Q' = 3x^2 - 1 \] \[ V' = 2(x^3 - x) + (2x - 1)(3x^2 - 1) \]

Ahora sustituye en la regla del producto: \[ f'(x) = \dfrac{1}{2\sqrt{x}} \cdot (2x - 1)(x^3 - x) + \sqrt{x} \cdot \left[2(x^3 - x) + (2x - 1)(3x^2 - 1)\right] \]

Escribe con un denominador común \( 2\sqrt{x} \): \[ f'(x) = \dfrac{(2x - 1)(x^3 - x) + 2x\left[2(x^3 - x) + (2x - 1)(3x^2 - 1)\right]}{2\sqrt{x}} \]

Expande cada término:

Primer término: \( (2x - 1)(x^3 - x) = 2x^4 - 2x^2 - x^3 + x \)

Segundo término dentro de los corchetes: \[ 2(x^3 - x) = 2x^3 - 2x \] \[ (2x - 1)(3x^2 - 1) = 6x^3 - 2x - 3x^2 + 1 \] Súmalos: \( (2x^3 - 2x) + (6x^3 - 2x - 3x^2 + 1) = 8x^3 - 3x^2 - 4x + 1 \)

Multiplica por \( 2x \): \[ 2x(8x^3 - 3x^2 - 4x + 1) = 16x^4 - 6x^3 - 8x^2 + 2x \]

Ahora combina con el primer término: \[ (2x^4 - 2x^2 - x^3 + x) + (16x^4 - 6x^3 - 8x^2 + 2x) \] \[ = (2x^4 + 16x^4) + (-x^3 - 6x^3) + (-2x^2 - 8x^2) + (x + 2x) \] \[ = 18x^4 - 7x^3 - 10x^2 + 3x \]

Por lo tanto: \[ f'(x) = \dfrac{18x^4 - 7x^3 - 10x^2 + 3x}{2\sqrt{x}} \]

Ejercicios:

Encuentra la derivada de cada una de las siguientes funciones.

Respuestas a los Ejercicios Anteriores:


Más sobre
diferenciación y derivadas
y también
Encontrar Derivadas de Funciones Racionales - Calculadoras