Preguntas de División de Radicales con Soluciones para 10º Grado
Se presentan preguntas para 10º grado sobre cómo dividir expresiones radicales con soluciones.
Cociente (División) de Radicales Con el Mismo Índice
La fórmula de división de radicales con índices iguales está dada por

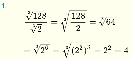
Ejemplos
Simplifica las expresiones dadas

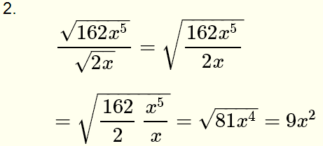
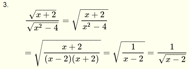
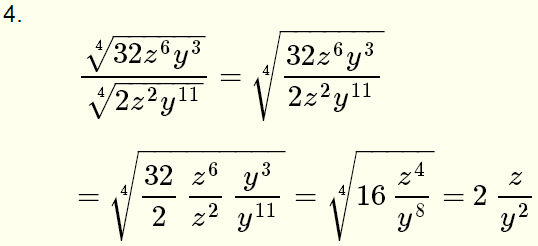
Preguntas Con Respuestas
Usa la fórmula de división anterior para simplificar las siguientes expresiones

Soluciones a los Problemas Anteriores




Más Referencias y Enlaces