Operations on Matrices such as adding, subtracting and multiplying by a scalar along with the equality of matrices are presented using examples and questions with solutions.
Page Content
Only matrices
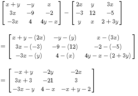
of the same order can be added or subtracted. We add (or subtract) two matrices by adding (or subtracting) their corresponding entries.
a) The matrices in part a) have the same order and we therefore can add them by adding their corresponding entries. Hence
To multiply a matrix by a scalar, you multiply all entries of that matrix by the scalar. Note that scalar multiplication does not change the order of the matrix.
Express as a single matrix.
a) \[ - 5 \begin{bmatrix}
5 & - 7 \\
4 & 6
\end{bmatrix} \]
b) \[ 2 \begin{bmatrix}
x & x + y & 6\\
-2 & - x & 1
\end{bmatrix} - 3 \begin{bmatrix}
- x & -2y & 0\\
3x & x & -1
\end{bmatrix} \]
a) \[ - 5 \begin{bmatrix} 5 & - 7 \\ 4 & 6 \end{bmatrix} = \begin{bmatrix} -5(5) & -5(- 7) \\ -5(4) & -5(6) \end{bmatrix}= \begin{bmatrix} -25 & 35 \\ -20 & - 30 \end{bmatrix}\] b) \[ 2 \begin{bmatrix} x & x + y & 6\\ -2 & - x & 1 \end{bmatrix} - 3 \begin{bmatrix} - x & -2y & 0\\ 3x & x & -1 \end{bmatrix} \] Multiply the first matrix by 2 and the second matrix by \( 3 \) \[ = \begin{bmatrix} 2(x) & 2(x + y) & 2(6)\\ 2(-2) & 2(- x) & 2(1) \end{bmatrix} - \begin{bmatrix} 3(-x) & 3(-2y) & 3(0)\\ 3(3x) & 3(x) & 3(-1) \end{bmatrix} = \] Subtract, group and simplify the algebraic expressions \[ = \begin{bmatrix} 5x & 2x+8y & 12\\ -4 - 9x & -5x & 5 \end{bmatrix}\]
Two matrices are equal if they have the same order (equal number of rows and equal number of columns) and their corresponding entries are equal.
Which of the following matrices are equal? \[ \text{a)} \quad \begin{bmatrix} 1 & 2 \\ 3 & 4 \\ \end{bmatrix} , \quad \text{b)} \begin{bmatrix} x & 2x \\ 2 & 1 \\ \end{bmatrix} , \quad \text{c)} \begin{bmatrix} 1 & -x \\ 3x & 5 \\ \end{bmatrix} , \quad \text{d)} \begin{bmatrix} 1 & 2 \\ 3 & 4 \\ \end{bmatrix} , \quad \text{e)} \begin{bmatrix} 1 & 2 & 5\\ 3 & 4 & 8\\ \end{bmatrix} \],
Matrices a), b), c) and d) have the same order 2 by 2. But only matrices a) and d) are equal as they have equal corresponding entries. Matrix e) has the order 2 by 3 which is different to the order of all other matrices and is therefore not equal to any of the matrices.
Find x and y so that \[ \begin{bmatrix} 2x + y & - 7 \\ 4 & 6 \end{bmatrix} = \begin{bmatrix} 2 & - 7 \\ 4 & 4x + y \end{bmatrix} \].
The two matrices have the same order. For these matrices to be equal, all their corresponding entries have to be equal. Corresponding entries - 7 and 4 are equal. The entries with the unknowns x and y has to be equal. Hence
\[ 2 x + y = 2 \; \text{and} \; 6 = 4 x + y \] Solve the above system of equations to find \[ x = 2 , y = - 2 \] As an exercise, substitute x by 2 and y by - 2 into the matrices and verify that they are equal.
Find x and y, if possible, such that \[ \text{A)} \quad \begin{bmatrix} 2x + y & 3 & 10 \\ y + 1 & -2 & 0 \\ \end{bmatrix} = \begin{bmatrix} 2 & 3 & 10 \\ 3 & -2 & 0 \\ \end{bmatrix} \] \[ \text{B)} \quad \begin{bmatrix} 6 & -4 & -6 & x - y \end{bmatrix} = - 2 \begin{bmatrix} -3 & 2 & 2x + 2y & 13 \end{bmatrix} \]
Write as one matrix \[ \text{A)} \quad \begin{bmatrix} -2 & 4 & 3 \\ -6 & 3 & -4 \\ -1 & 0 & 9 \\ \end{bmatrix} + \begin{bmatrix} -1 & 0 & 23 \\ -4 & -3 & 9 \\ 2 & -5 & 0 \\ \end{bmatrix} \] \[ \text{B)} \quad - 2 \begin{bmatrix} -2 & 3 \\ 1 & -5 \end{bmatrix} + 4 \begin{bmatrix} 3 & 4 \\ -2 & 9 \end{bmatrix} \] \[ \text{C)} \quad -3 \begin{bmatrix} -2x & y + 2 & 6\\ 4 & - x & -4 \\ \end{bmatrix} + 5 \begin{bmatrix} 3x & 5y & -5\\ 3y & x+y & -1 \end{bmatrix} \]