Area of Ellipse in Polar Coordinates

Equation of Ellipse in Polar Coordinates

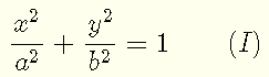
The equation of an ellipse centered at the origin is given by
Equation of Ellipse in Rectangular Coordinates
The conversion from rectangualar to polar coordinates is given by Rectangular to Polar Conversion Equations
Substitute the above in equation (I) Equation of Ellipse in Polar Coordinates
Divide all terms in the above equation by cos^2(theta) and simplify Simplified Equation of Ellipse in Polar Coordinates Solve for r2 Equation of Ellipse in Polar Form



Area of Ellipse in Polar Coordinates

\(\)\(\)\(\)

The area \( A \) in polar coordinate enclosed by a curve is given by the formula \[ A = \dfrac{1}{2} \int_0^{2\pi} r(\theta)^2 d \theta \] where \( r(\theta) \) is the equation of the curve in polar coordinates,
Substitute \( r^2 \) of the ellipse found above \[ A = \dfrac{1}{2} \int_0^{2\pi} a^2 b^2 \dfrac{\sec^2 \theta}{b^2+a^2\tan^2 \theta} d\theta \qquad (II) \] Use the trigonometric substitution method that transform \( \quad a \tan \theta \) into \( b \tan \alpha \quad \) so that the denominator can be factored and hence more simplifications occur.
Let \[ b \tan \alpha = a \tan \theta \qquad (III) \] Differentiate both sides of the above with respect to \( \theta \), using the chain rule of differentiation on the left side, \[ b \sec^2 \alpha \dfrac{d \alpha}{d \theta } = a \sec^2 \theta \] which gives \[ \sec^2 \theta d \theta = \dfrac{b}{a} \sec^2 \alpha \; d \alpha \] or \[ d \theta = \dfrac{\dfrac{b}{a} \sec^2 \alpha}{\sec^2 \theta } \; d \alpha \qquad (IV)\] Limits of integration
From (III) above, we may write \( \alpha = \arctan (\dfrac{a}{b} \tan \theta ) \)
For \( \theta = 0 \) , \( \alpha =0 \)
For \( \theta = 2\pi \) , \( \alpha = 2\pi \)
Substitute \( d\theta \) in (IV) and the limits of integration in the integral \[ A = \dfrac{1}{2} \int_0^{2\pi} a^2 b^2 \dfrac{\sec^2 \theta}{b^2+b^2\tan^2 \alpha} \dfrac{\dfrac{b}{a} \sec^2 \alpha}{\sec^2 \theta } \; d \alpha \] Factor \( b^2 \) in the denominator and take all constant outside the integral and simplify \[ A = \dfrac{ a b}{2} \int_0^{2\pi} \dfrac{1}{1+\tan^2 \alpha} \sec^2 \alpha \; d \alpha \] Use the trigonometric identity \( 1+1\tan^2 \alpha = \sec^2 \alpha \) in the denominator and simplify \[ A = \dfrac{ a b}{2} \int_0^{2\pi} d \alpha \] Evaluate the integral \[ A = \dfrac{ a b}{2} \left[\alpha\right]_0^{2\pi} d \alpha \] Simplify \[ A = a b \pi \]



More References and Links

  1. Equation of an Ellipse
  2. Area in Polar Coordinates
  3. Polar Coordinates and Equations
  4. Polar Coordinates.